- one equation per week
- bite-sized (≤ 280 characters) post
- simple language
Weeqly (2018)
A magyar változatért kattintson ide! 
52: Mass-energy equivalence
The World's most famous formula is Einstein's E=mc² which says that energy and mass are equivalent. It's the key to nuclear energy: a tiny mass defect Δm between the bound and fragmented nucleus translates into a vast amount of energy Δm×c².
51: Yang-Baxter equation
How do magnets form? Why does water freeze? These are very difficult questions. Nevertheless, we can give exact answers/solutions thanks to the Yang-Baxter equation and R-matrix obtained from it.
50: Uncertainty principle
A pure tone (sine wave) is characterized by 1 frequency but it's spread in time. A short whistle is localized, but it's a mixture of many frequencies. The uncertainty principle is a similar link between a particle's position and momentum.
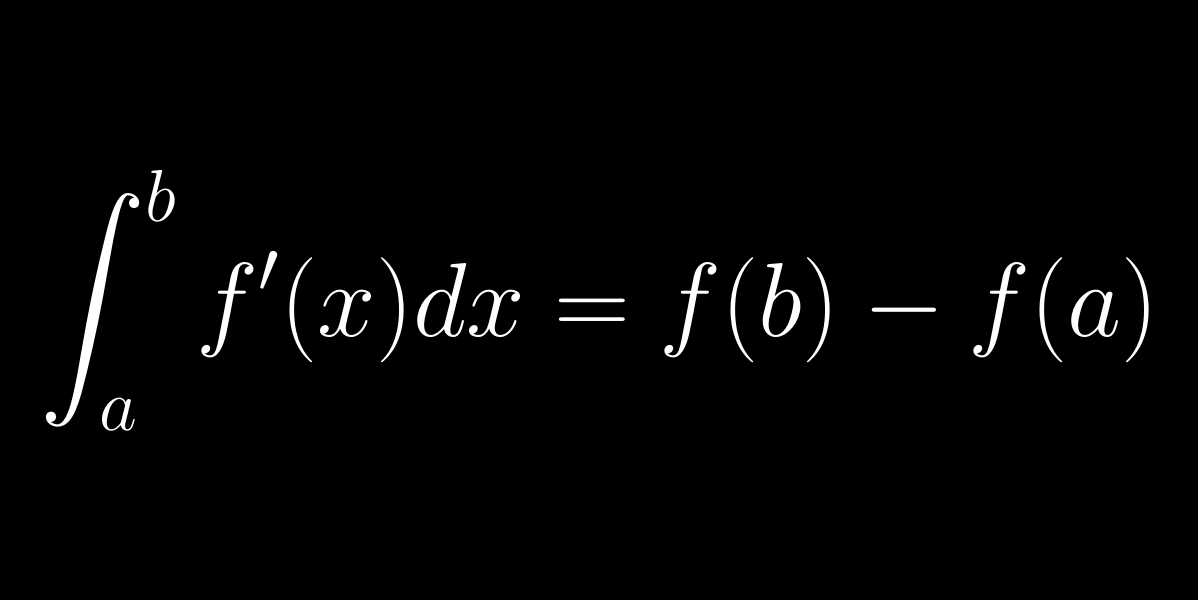
49: Fundamental theorem of calculus
Everyone learns in physics class that distance = speed × time (s=vt) if v is constant. But what if speed is changing? Can we compute the distance travelled by a car by only watching its speed? Yes, we can, due to the Newton-Leibniz formula.
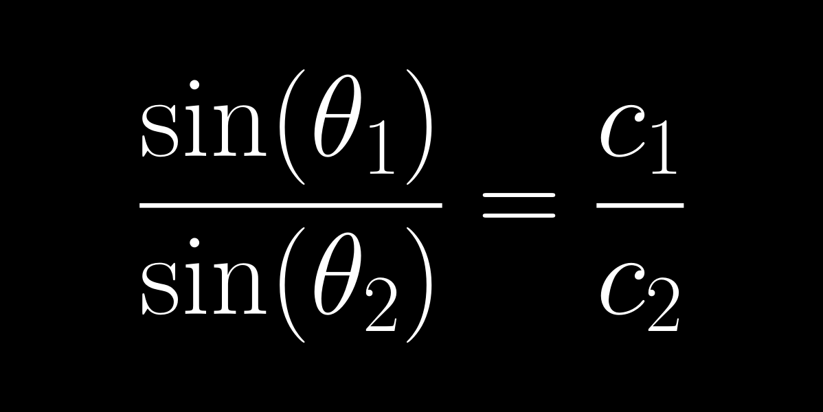
48: Snell's law
Light travels the quickest path, not the shortest. It's slower in water than in air, so travel time is less if it spends more time in air. This is why light refracts on the surface! Snell's law connects the angles of incidence & the speeds.
47: Minimax theorem
Minimizing the maximal loss = maximizing the minimal win. This is the minimax theorem, a fundamental result in game theory, which was proved by John von Neumann in 1928. It provides a winning strategy for zero sum games.
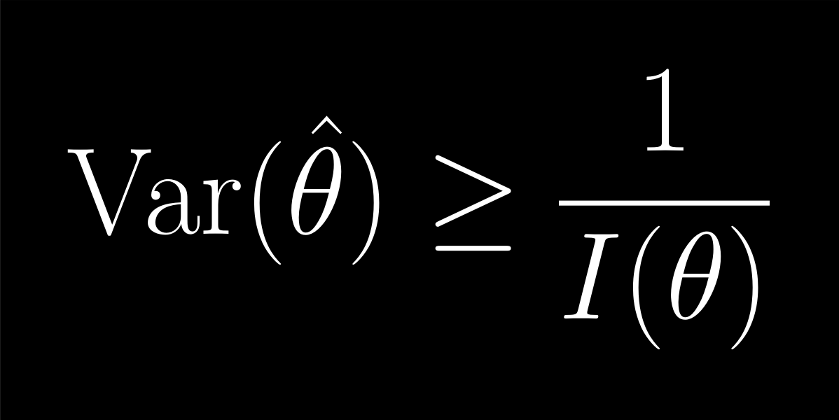
46: Cramér-Rao bound
We'd like to estimate the average human height by measuring 1 million people. What should we do? Take the mean of our data set? But what is the guarantee that there is no better way of approximating the real value? The Cramér-Rao bound.
45: sine-Gordon equation
The sine-Gordon equation describes a twisting elastic string. Its stable/localized solutions are called solitons. They behave similarly to real massive, charged particles. In addition, there are anti-solitons and bound states ("breathers").
44: Hamilton's equations
Hamilton's equations reformulate Newton's F=ma (classical mechanics) in such a way that the dynamics is governed by not forces, but the total energy H. This perspective was key for developing statistical & quantum physics in early 20th century.
43: Triangle inequality
The triangle inequality expresses a very simple fact: A walk from A to B via C (along staight lines) is at least as long as walking to B directly. Nonetheless, it has far-reaching consequences; an example is the twin paradox in special relativity.
42: Commutation relation
Commutation relations like this form the basis of quantum mechanics. This example expresses the connection between position (X) and momentum (P): [X,P]=XP-PX=ih/2π, where h is Planck's constant. It entails Heisenberg's uncertainty principle.
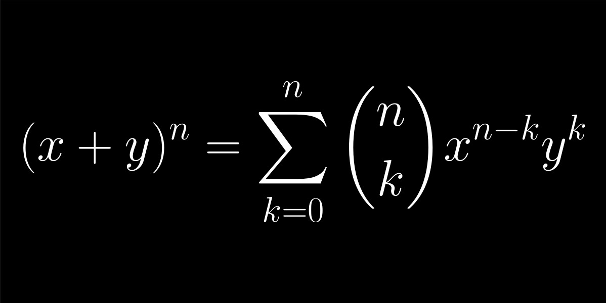
41: Binomial theorem
"What does this have to do with anything?" a question mathematicians often get. Boring(?) identities like (x+y)²=x²+2xy+y², (x+y)³=x³+3x²y+3xy²+y³ and the binomial theorem are good examples. Except they describe a law of population genetics!
40: Second law of thermodynamics
The second law of thermodynamics states that the total entropy of an isolated system can never decrease. Therefore (in some sense) it is responsible for the fact that we can distinguish the past from the future, i.e. for the arrow of time.
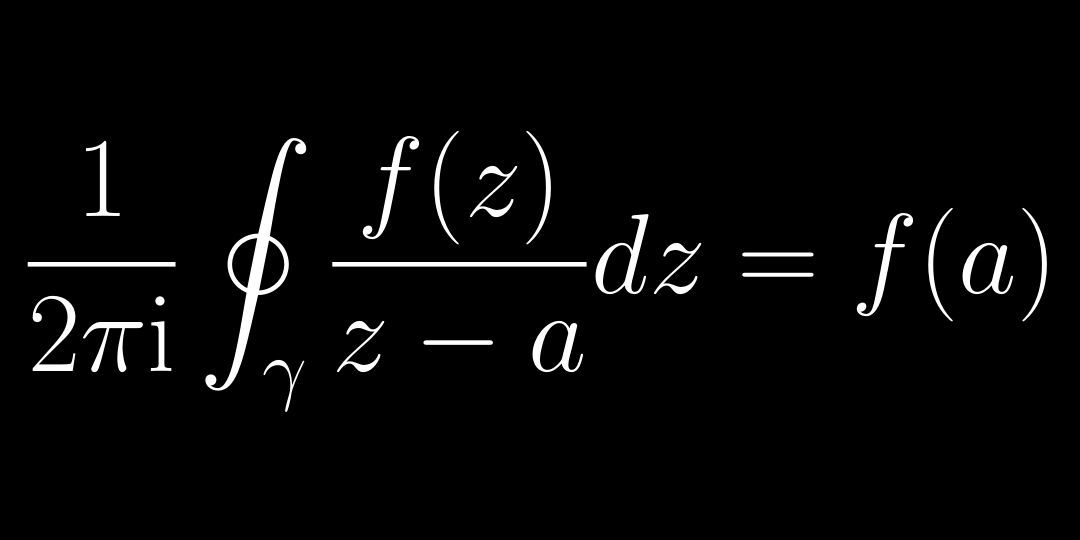
39: Cauchy's integral formula
Can you tell the temperature of the center of a hot plate by touching its rim? Yes, by using Cauchy's integral formula! It's a central result in complex analysis and can also be used to prove the fundamental theorem of algebra.
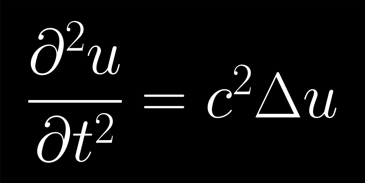
38: Wave equation
A plucked guitar string, a vibrating drumhead, the WiFi signal and the propagation of light itself is described by this equation, the wave equation, in which the parameter c is the propagation speed of the wave.
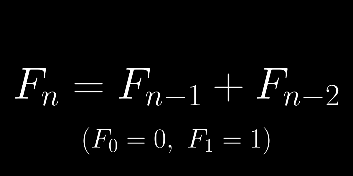
37: Fibonacci numbers
Nature is full of Fibonacci numbers which come from a very simple recurrence relation. Each term is the sum of the 2 preceding ones starting w/ 0,1. So we get 0,1,1,2,3,5,8,13,... & the ratio of neighbours tends to the golden ratio ϕ≈1,618.
36: Euler-Lagrange equation
What's the shape of a hammock? What about a soap film on a wire-frame ? How to remove noise from a photo? The mathematical formulation of such questions involves the Euler-Lagrange equation, which also lies at the heart of particle physics.
35: Gauss-Bonnet formula
How can an ant decide if it's on a beach ball or a swim ring? By walking on the surface & adding up the curvature. By the Gauss-Bonnet formula the result is 2π(2-2g); g=# of holes. If it's 4π the ant is on a ball. If 0 the ant is on a ring.
34: P vs NP
Solving a Sudoku can be hard, but checking a solution is always easy. Solving's NP, checking's P. Is there a way to solve all Sudoku quickly? It's one of the greatest unsolved problems of computer science. Whoever solves it gets $1 million.
33: Time-independent Schrödinger equation
What's the Sun made of? Mainly Hydrogen (≈75%) and Helium(≈24%). But how do we know? We solved the time-independent Schrödinger equation to get the energy levels E of atoms and then matched these against sunlight (absorption lines).
32: Quaternions
The applications of quaternions range from computer graphics through wireless communication to modern physics. These numbers are of the form a+bi+cj+dk (a,b,c,d∈ℝ) and they extend the set of real (ℝ) and complex (ℂ) numbers.
31: Principle of least action
"Nature always minimizes action". This statement is formulated by the principle of least action, which is a theoretical basis for Newton's law of gravity, Maxwell's equations, the Schrödinger equation, and Einstein's field equation.
30: Cardinality of the continuum
How many whole numbers are there? ∞ What about fractions? ∞ Real numbers? ∞ Which of these infinities is the biggest one? Is it even a sensible question? Yes, it is. Turns out that whole numbers & fractions can be listed, but reals can't.
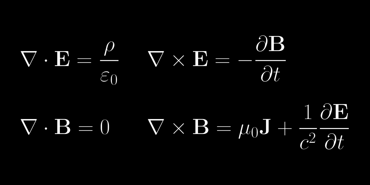
29: Maxwell's equations
Internet, TVs, phones, cars, MRI machines..all would vanish w/o Maxwell's equations. These unifying relations of electricity and magnetism meant the apex of 19th century physics and the foundations of 20th century technological developments.
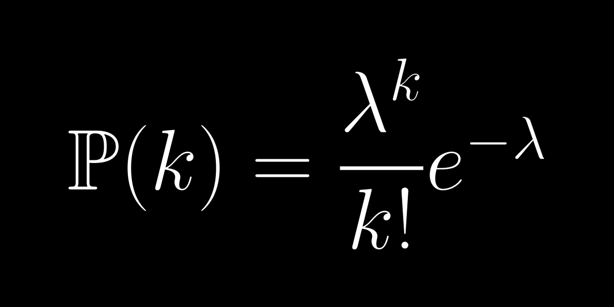
28: Poisson distribution
How many emails will you get today? How many mutations will occur in your DNA? How many shooting stars will you see at night? How many Prussian soldiers were killed by horse-kick betw. 1875-94? All of these follow a Poisson distribution!
27: Navier-Stokes equations
Wanna earn $1 million? Just solve these equations! The Navier-Stokes equations describe the motion of fluids. They're unmatched both in their importance and complexity, and can be used to model the weather, or to design more aerodynamic cars.
26: Bell's inequality
"God does not play dice" was Einstein's way of saying that the world of particles isn't probabilistic. It only appears to be so, because of (local) hidden variables. Bell's inequality and the experiments based on it proved this to be wrong!
25: Heat equation
How does a drop of ink diffuse in water? How does a stovetop heat up? Many of such processes, where a certain quantity tends towards an equilibrium distribution are described by this equation, usually called diffusion or heat equation.
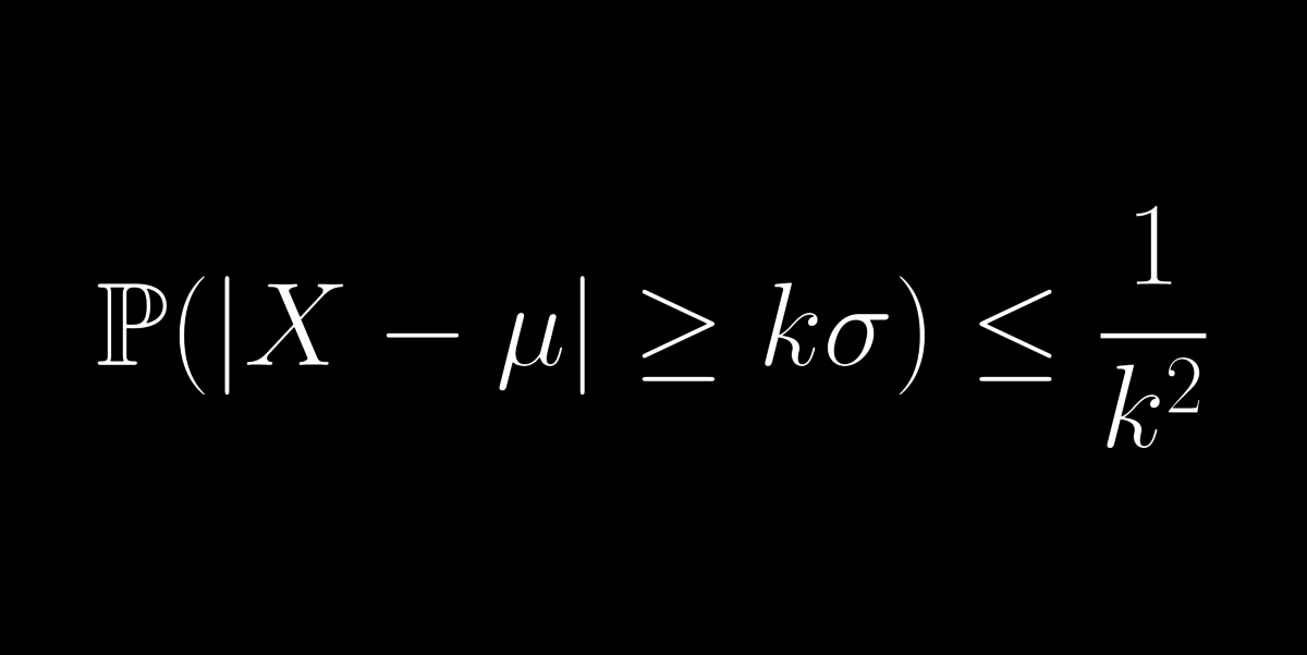
24: Chebyshev's inequality
How likely is it for a data point to differ from the average by more than a given amount? Chebyshev's inequality says that the probability of getting a value more than $k$ times the standard deviation away from the mean is less than $1/k^2$.
23: Inverse-square law
The motion of planets, apples falling from trees, and the electron of the Hydrogen atom are all underlain by such innocent-looking 1/r² laws. It's no wonder that Newton's law of gravity is one of the greatest success stories in science.
22: Black-Scholes equation
The Black-Scholes equation is a financial model describing the price evolution of options. According to it, one right price exists and there's a way of trading that eliminates risks. The 1997 Nobel Prize in economics was awarded for this.
21: Geodesic equation
It's often said that the shortest path between two points is a straight line. But what if the surface is bumpy? How about the shortest path between two cities on Earth? And if we travel in curved spacetime? Answ: Solve the geodesic equation!
20: Prime number theorem
Even though primes seem to occur pretty much at random in the sequence 1,2,3,... there are certain patterns in their behaviour. For example, the prime number theorem estimates π(x) (number of primes ≤x). It gets more precise as x increases.
19: Dirac equation
This equation has lead Dirac to predict(!) the existence of antimatter in 1928, confirmed in experiments a few years later. The Dirac equation describes the electron, but it also has a "positively charged electron" solution aka the positron.
18: Lotka-Volterra equations
The Lotka-Volterra equations describe the constant fight between predator & prey. Prey population is governed by the 1st eq. If there's plenty of prey (large x), the number of predators (y) will increase, that is if they "interact" (β,δ≠0).
17: Ideal gas law
A gas consists of an unimaginable number of atoms flying in every direction & making what seems to be a big mess. However, order emerges from this mayhem at scales we experience. The ideal gas law is an elegant formula that captures this.
16: Korteweg-de Vries equation
The Korteweg-de Vries equation describes water waves in a shallow channel and ion acoustic waves in plasma. It's the most famous nonlinear equation, which has stable, particle-like solutions. These solutions are called solitons.
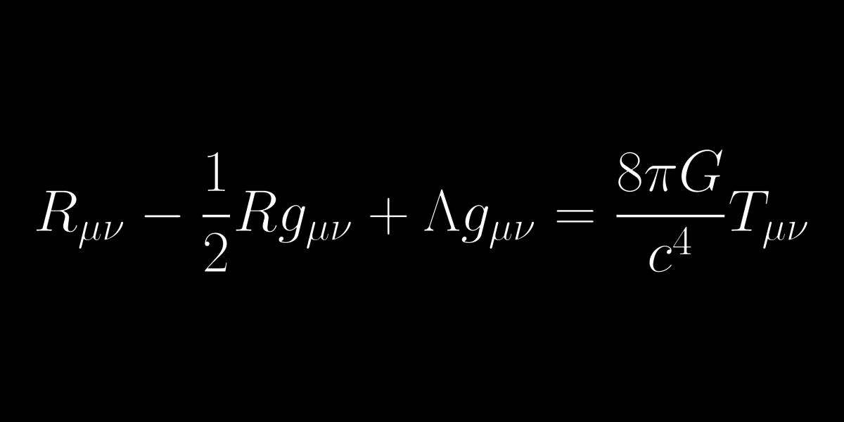
15: Einstein field equations
The Einstein field equations describe gravity with the geometry of spacetime. According to them matter tells spacetime how to curve, which in return tells matter how to move. It's one of the greatest paradigm shifts physics has witnessed.
14: Pythagorean theorem
The Pythagorean theorem is the most famous formula ever! It connects the 3 sides of a right angle triangle: a,b (shorter sides) c hypotenuse (longest side). It was discovered at least 4000 years ago and proved/generalised in many ways since.
13: Ising model
This formula describes how magnets are formed! This is the Ising model, which also explains that magnetic materials (such as iron and cobalt) stop being attracted to magnets when they're heated to a high enough temperature.
12: Stirling's approximation
There are 6 ways to list 3 different things: ABC, ACB, BAC, BCA, CAB, CBA. The number of ways is given by the factorial: 3!=3×2×1=6. Stirling's approximation is a nice formula that gets more and more precise as the number of objects increases.
11: Bekenstein-Hawking formula
The Bekenstein-Hawking formula expresses the entropy (S) of a black hole in terms of the size (A) of its event horizon. It's a wonderful thing connecting quantities from thermodynamics (k), gravitation (G) and quantum mechanics (ħ).
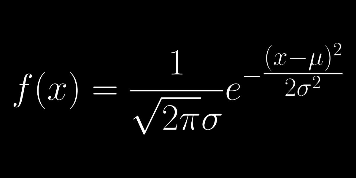
10: Normal distribution
The distribution of people's height, weight, shoe size, etc. can all be described via this formula ($\mu$ is the mean, $\sigma$ is the std deviation). This is the normal distribution, which (almost) always appears when we do statistics for measurements.
09: Entropy
Entropy (S) is a measure of disorder in a system. The entropy of the universe can never decrease with time, that is why we can tell past and future apart (arrow of time). The formula was found by Boltzmann (it's engraved in his tombstone).
08: Logistic map
This simple formula captures chaos. The logistic map is a demographic model predicting the current/max population each year starting from an initial value $x_0$ ($ 0 < x_0 < 1 $). Even the slightest change in $x_0$ will become large over time if $ r > 3.57$.
07: Schrödinger's equation
The Schrödinger equation is the quantum version of Newton's F=ma. It governs the dynamics of atoms with an important feature, linearity: a mixture of its solutions may also be a solution. This is why Schrödinger's cat is both $|\Psi_{\mathrm{dead}}\rangle$ and $|\Psi_{\mathrm{alive}}\rangle$.
06: Laplace's equation
How hot certain parts of a room will be if the walls are kept at a fixed (but different for each wall) temperature? Solving Laplace's equation helps you answer such questions. You can even use it to derive Coulomb's law!
05: Fourier transform
If you have perfect pitch you are performing this formula in your head/ears!! The Fourier transform takes a (complicated) input $f(t)$, such as music, and decomposes it into simpler components. Its output is the frequency distribution $\hat{f}(\omega)$.
04: Length contraction
Length contraction is one of the most surprising consequences of Einstein's special theory of relativity. If you whiz by a 1 km-long (L₀) traffic jam at 99.99995% of the speed of light (c) you'll measure it to be only 1 m long (L).
03: Euler's polyhedral formula
Every convex body with polygonal faces (such as a cube or 'pyramid') knows Euler's formula: The number of vertices (V) minus the number of edges (E) plus the number of faces (F) equals two. For a cube: V=8, E=12, F=6. Find other examples!
02: Newton's second law
Newton's 2nd law is an amazing discovery and one of the most fundamental equations in physics. It says that the net force (F) on an object equals its mass (m) times its acceleration (a). It has to be obeyed by (almost) everything that moves!
01: Euler's identity
Euler's identity is a true maths miracle that joins the five most important numbers: 0, 1, π = circle's circumference/diameter ≈3.14159, e = $1 after 1 year of continuous compounding with 100% interest ≈2.71828, i = square root of -1.